Услуги
2025-11-19 10:23
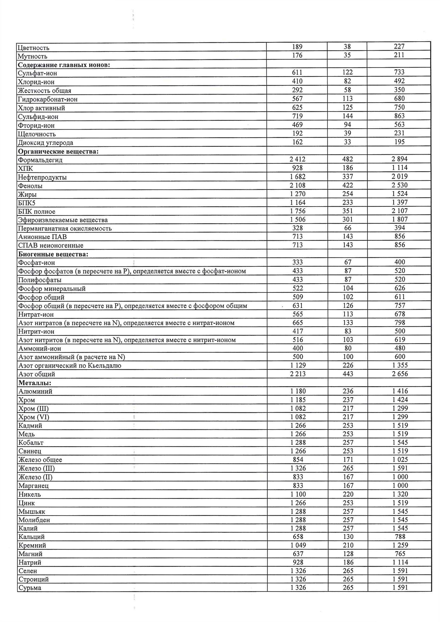
Прейскурант цен на платные услуги (работы) по приносящей доход деятельности на 2026 год
Прейскурант цен на платные услуги (работы) по приносящей доход деятельности на 2026 год